'Lattice Formulation of LPC Coefficient' Video Lecture

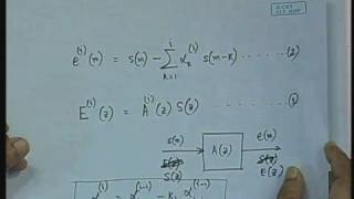
Lattice Formulation of LPC Coefficient

  • Course: Digital Voice & Picture Communication
  • Discipline: Electronics and Communication Engineering
  • Faculty: Prof. Somnath Sengupta
  • Institute: IIT Kharagpur
  • Lattice Formulation of LPC Coefficient - Click on the Video Link shown below to play the video on Youtube. Browse through Digital Voice & Picture Communication (Electronics and Communication Engineering) Video Lectures by Prof. Somnath Sengupta from IIT Kharagpur through NPTEL.

    Download this video in MP4, FLV & 3GP formats
    Search Courses

    2015. EngineeringVideoLectures.com